作者:聚创中国科大考研网-a老师
                    点击量: 1982
                    发布时间: 2017-01-03 09:57
                    
                        
                        
                           【微信号:扫码加咨询】
                             
                      
                    
                   
                
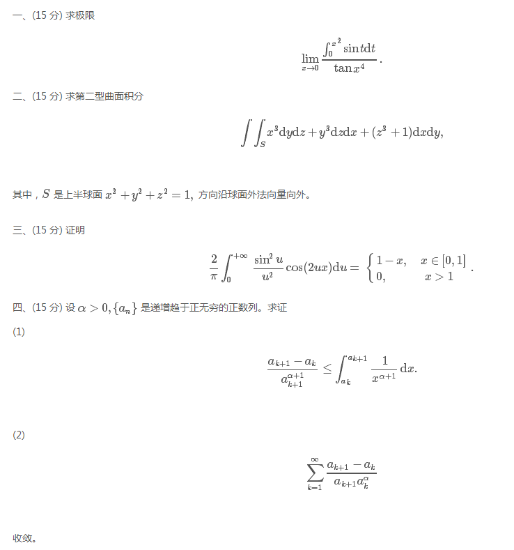
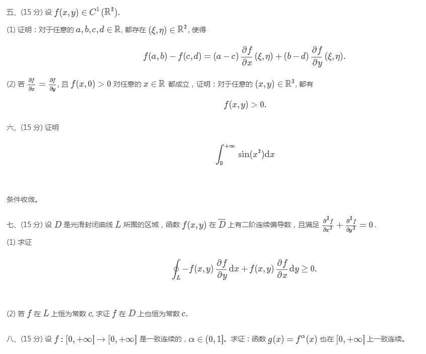
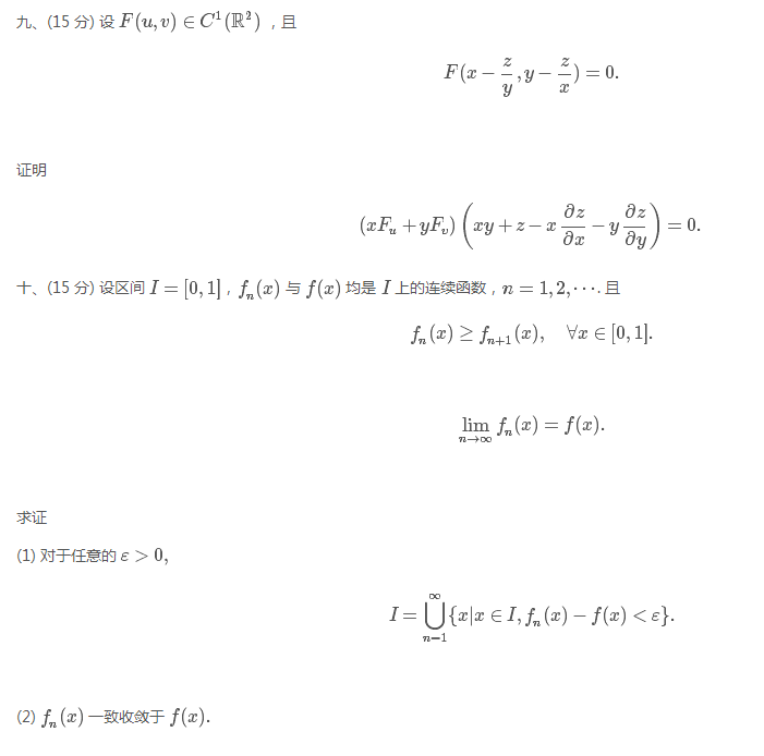
	  2017年考研初试已经结束了,聚英考研信息网第一时间为大家收集整理了中国科学技术大学2017年数学分析考研真题回忆版,决定2018考研学子们可以感受下,由于是网友们的回忆版,可能有些出入,欢迎各位学子纠正补充。
  推荐阅读:
  【汇总】2017年各院校新传考研专业课真题(回忆版) 


 
 
以上是聚创考研网为考生整理的"中国科学技术大学2017年数学分析考研真题回忆版"的相关考研信息,希望对大家考研备考有所帮助! 备考过程中如有疑问,也可以添加老师微信H17720740258进行咨询。
 
                            
                        
                   
                     
         
    
 
