作者:聚创考研网-林老师
点击量: 431
发布时间: 2019-12-02 14:03
【微信号:扫码加咨询】
考研数学想考高分,最重要的是及时的消化吸收知识点,认真的对待每一道数学题。聚创考研信息网小编希望能帮助你更深刻的理解数学这一门科目,踏实的复习考研数学。
Part.215题目
》》练习题

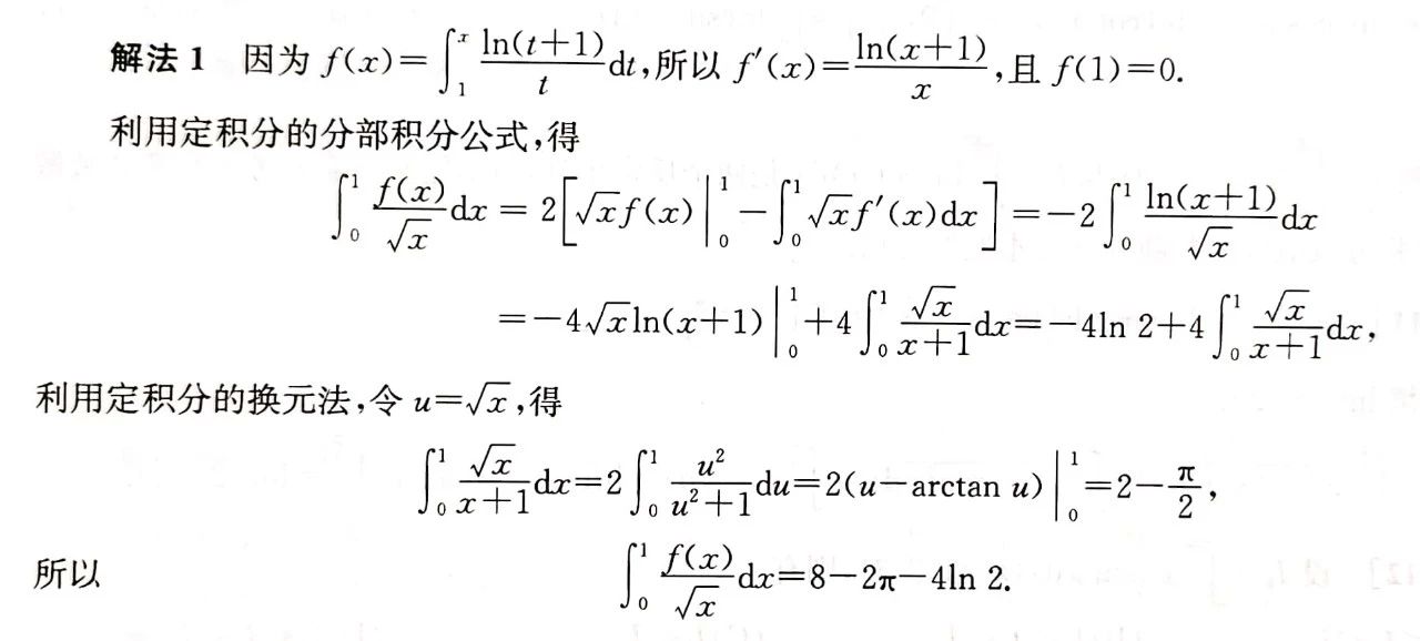
》》答案解析
5.

6. 答案π/4-1/2
推荐阅读:
1、过来人经验:考研数学什么辅导书比较好?张宇和李永乐哪个好?
3、【汇总】2020考研数学复习公式大全——含高数、线性代数、概率
以上是聚创考研网为考生整理的"2020年考研数学:定积分什么情况下用分部积分Part.215"的相关考研信息,希望对大家考研备考有所帮助! 备考过程中如有疑问,也可以添加老师微信H17720740258进行咨询。
