作者:聚创考研网-林老师
点击量: 385
发布时间: 2019-11-27 14:23
【微信号:扫码加咨询】
考研数学想考高分,最重要的是及时的消化吸收知识点,认真的对待每一道数学题。聚创考研信息网小编希望能帮助你更深刻的理解数学这一门科目,踏实的复习考研数学。
Part.210题目
》》练习题
》》答案解析


》》笔记整理
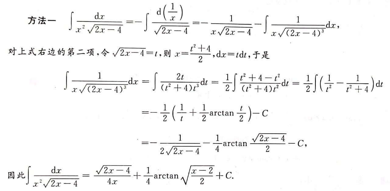
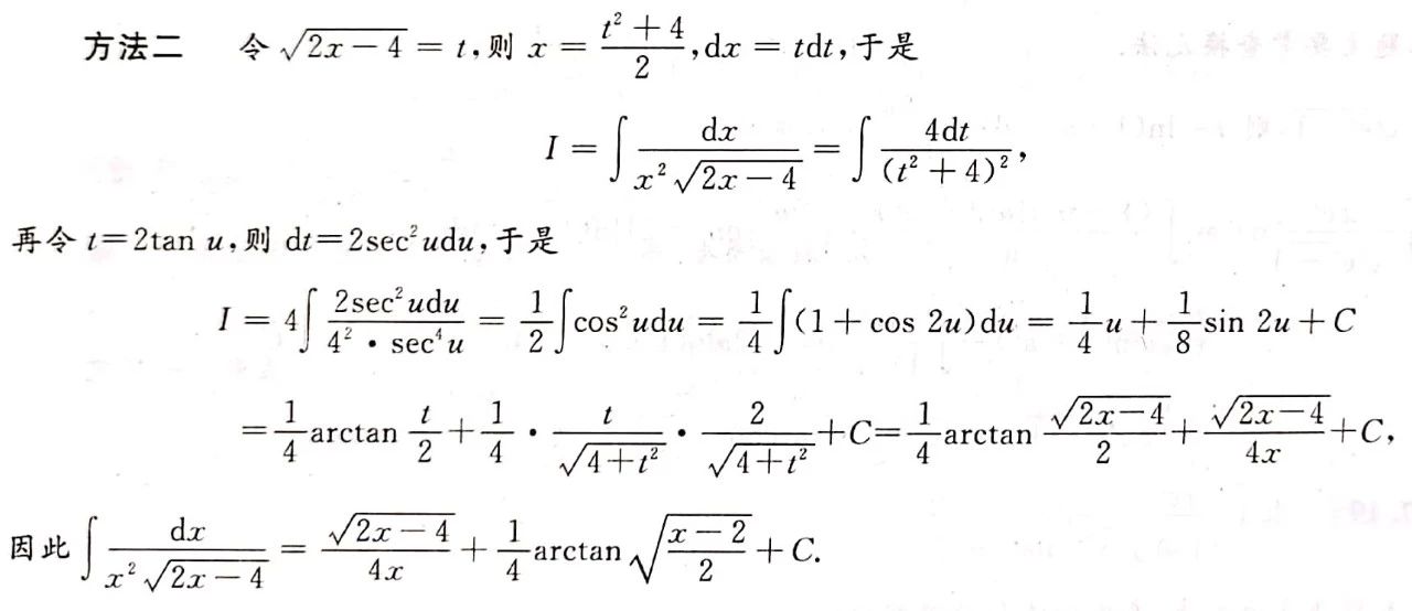
1.用换元法时,一定不要忘了回代,后面的常数项也是容易遗漏的点,做题时仔细仔细再仔细点哦。
2.出现比较复杂的式子,要学会凑项,这道题的方法一里面凑的技巧大家可以整理一下。也就是利用已知的式子,凑出比较好算的式子,再进行计算。
推荐阅读:
1、过来人经验:考研数学什么辅导书比较好?张宇和李永乐哪个好?
3、【汇总】2020考研数学复习公式大全——含高数、线性代数、概率
以上是聚创考研网为考生整理的"2020年考研数学:不定积分的计算Part.210"的相关考研信息,希望对大家考研备考有所帮助! 备考过程中如有疑问,也可以添加老师微信H17720740258进行咨询。
