作者:聚创考研网-林老师
                    点击量: 535
                    发布时间: 2019-11-08 09:54
                    
                        
                        
                           【微信号:扫码加咨询】
                             
                      
                    
                   
                
考研数学想考高分,最重要的是及时的消化吸收知识点,认真的对待每一道数学题。聚创考研信息网小编希望能帮助你更深刻的理解数学这一门科目,踏实的复习考研数学。
	
 
Part.194题目
》》练习题
	 
	
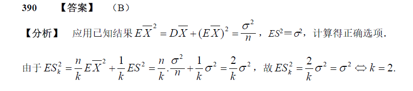
》》答案解析
	

 
推荐阅读:
1、过来人经验:考研数学什么辅导书比较好?张宇和李永乐哪个好?
3、【汇总】2020考研数学复习公式大全——含高数、线性代数、概率
以上是聚创考研网为考生整理的"2020年考研数学:已知简单随机样本均值、方差求值Part.194"的相关考研信息,希望对大家考研备考有所帮助! 备考过程中如有疑问,也可以添加老师微信H17720740258进行咨询。
 
                            
                        
                   
                     
         
    
 
