作者:聚创考研网-林老师
                    点击量: 711
                    发布时间: 2019-10-08 16:45
                    
                        
                        
                           【微信号:扫码加咨询】
                             
                      
                    
                   
                
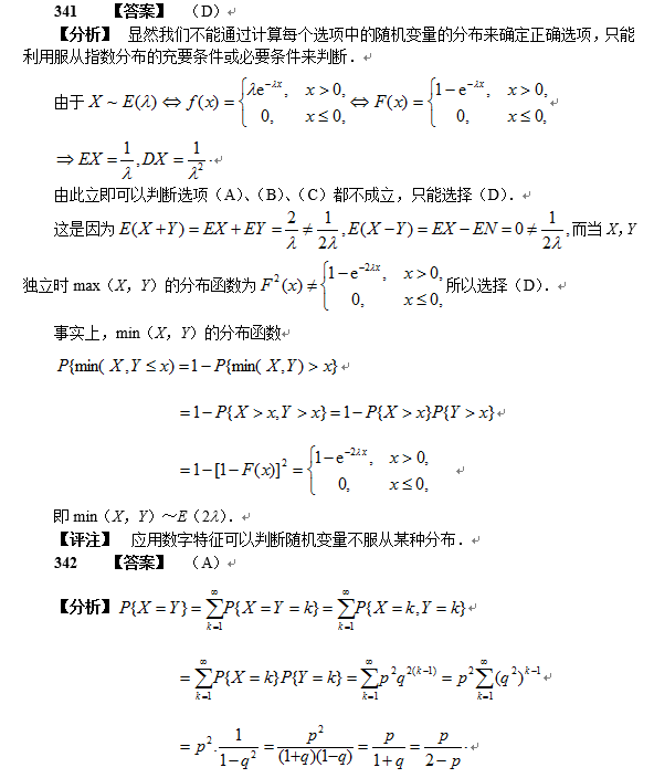
Part.170题目
》》练习题
	 
	
》》答案解析
	 
	
 
还在为数学是软肋而苦恼?
你可知
你的对手却已悄悄报班,复习进度甩你几条街了
聚创考研辅导班推荐
让名师为你解答
追上对手,甚至反超都有可能哦~
具体详情点击下方图片免费试听
推荐阅读:
1、过来人经验:考研数学什么辅导书比较好?张宇和李永乐哪个好?
3、【汇总】2020考研数学复习公式大全——含高数、线性代数、概率
以上是聚创考研网为考生整理的"2020年考研数学:随机变量相互独立的指数分布Part.170"的相关考研信息,希望对大家考研备考有所帮助! 备考过程中如有疑问,也可以添加老师微信H17720740258进行咨询。
 
                            
                        
                   
                     
         
    
 
