作者:聚创考研网-赖老师
点击量: 1684
发布时间: 2019-02-15 10:46
【微信号:扫码加咨询】
Part.2题目
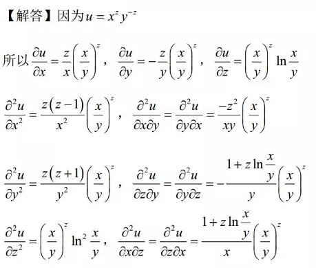
题目解析

还在为数学是软肋而苦恼?
你可知
你的对手却已悄悄报班,复习进度甩你几条街了
聚英聚创2020考研数学全程班
让名师为你解答
追上对手,甚至反超都有可能哦~
具体详情点击下方图片了解
推荐阅读:1、过来人经验:考研数学什么辅导书比较好?张宇和李永乐哪个好?
2、2020考研数学基础差,如何自学得高分?以上是聚创考研网为考生整理的"2020考研数学:求相关函数的一阶与二阶偏导数Part.2"的相关考研信息,希望对大家考研备考有所帮助! 备考过程中如有疑问,也可以添加老师微信H17720740258进行咨询。
