作者:聚创考研网-邹老师
                    点击量: 1181
                    发布时间: 2018-12-13 09:30
                    
                        
                        
                           【微信号:扫码加咨询】
                             
                      
                    
                   
                
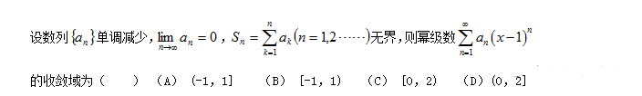
Part.146题目
	 
	 
 
	
 
	
 
题目解析
	 
还在为数学是软肋而苦恼?
你可知
你的对手却已悄悄报班,复习进度甩你几条街了
聚英聚创2020考研数学全程班
让名师为你解答
追上对手,甚至反超都有可能哦~
具体详情点击下方图片了解
推荐阅读:以上是聚创考研网为考生整理的"每日一做:已知数列单调减少,求相关幂级数的收敛域Part.146"的相关考研信息,希望对大家考研备考有所帮助! 备考过程中如有疑问,也可以添加老师微信H17720740258进行咨询。
 
                            
                        
                   
                     
         
    
 
