作者:聚创考研网-小厦老师
点击量: 1171
发布时间: 2018-10-31 09:59
【微信号:扫码加咨询】
Part.113题目
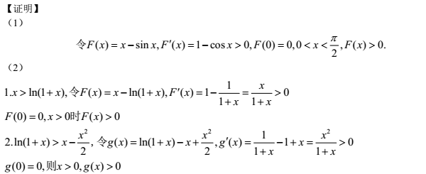
题目解析


还在为数学是软肋而苦恼?
你可知
你的对手却已悄悄报班,复习进度甩你几条街了
让名师为你解答
追上对手,甚至反超都有可能哦~
具体详情点击下方图片了解
推荐阅读:以上是聚创考研网为考生整理的"每日一做:证明不等式Part.113"的相关考研信息,希望对大家考研备考有所帮助! 备考过程中如有疑问,也可以添加老师微信H17720740258进行咨询。
