作者:聚创考研网-小厦老师
点击量: 1420
发布时间: 2018-10-15 10:42
【微信号:扫码加咨询】
Part.100题目
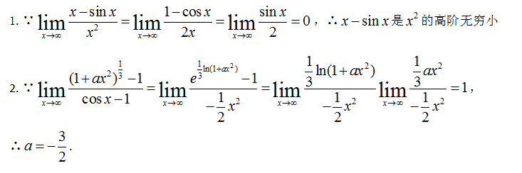
题目解析

短期提分不是目的
让自己考研成功,这才叫做意义
聚英的刷题班,现在终于飞到你手里~~
珍惜我们,只有学霸才能拥有!
推荐阅读:以上是聚创考研网为考生整理的"每日一做:当x趋于0时的高数极限相关问题求解Part.100"的相关考研信息,希望对大家考研备考有所帮助! 备考过程中如有疑问,也可以添加老师微信H17720740258进行咨询。
