作者:聚创考研网-小厦老师
点击量: 1804
发布时间: 2018-07-28 17:29
【微信号:扫码加咨询】
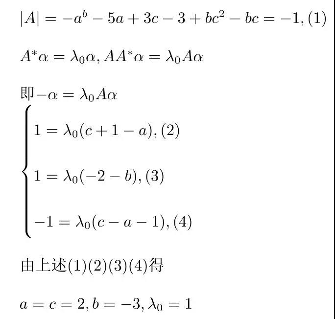
Part.50题目

线代、高数、概率学的一脸懵逼?
考研数学公式深奥,难以理解?
不知道重难点,无法入手复习?
聚英小姐姐隆重给你介绍:
全年235课时+讲义+十年真题等大礼包
大家都报名了,你还不赶紧下手!
推荐阅读:以上是聚创考研网为考生整理的"每日一做:考研高等数学矩阵的问题详细解答Part.50"的相关考研信息,希望对大家考研备考有所帮助! 备考过程中如有疑问,也可以添加老师微信H17720740258进行咨询。
