作者:聚创考研网-小厦老师
点击量: 1810
发布时间: 2018-07-23 10:24
【微信号:扫码加咨询】
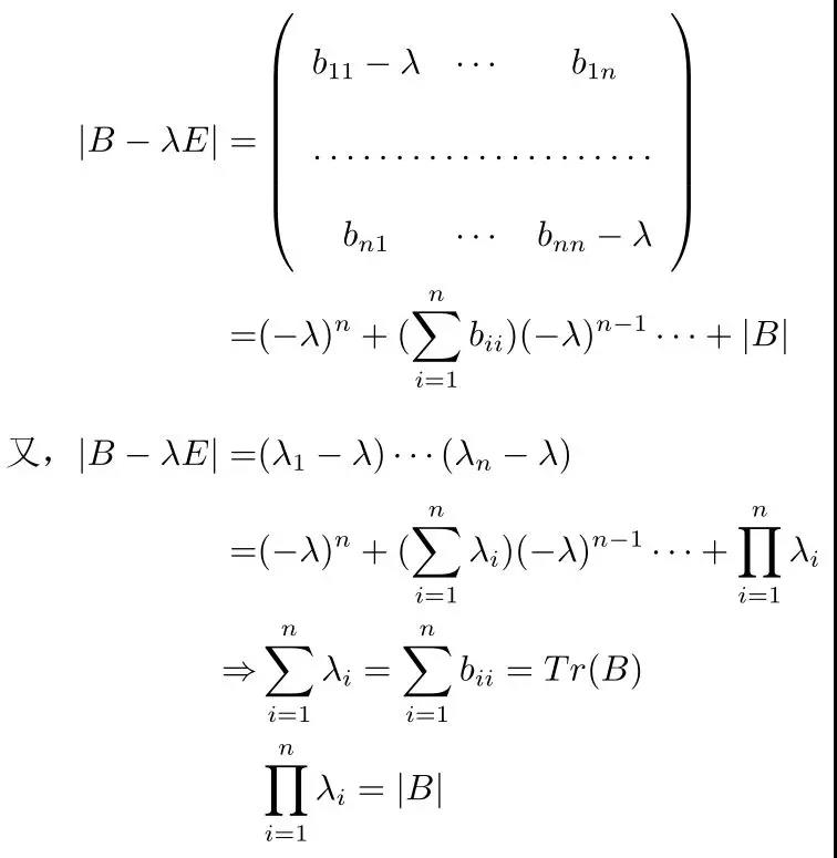
Part.45题目



专业院校如何选择?复习规划如何开始?2020考研的你,以上问题通通不用愁!
聚英考研信息网特别准备了考研预科班大礼包!168个课时,10本考研教材资料,内含院校专业选择规划,公共课前期复习规划资料,满足你考研前期的所有需求!
点击图片,了解大礼包详情噢!
推荐阅读:
以上是聚创考研网为考生整理的"每日一做:考研高等数学二次型问题解答Part.45"的相关考研信息,希望对大家考研备考有所帮助! 备考过程中如有疑问,也可以添加老师微信H17720740258进行咨询。
