作者:聚创考研网-小厦老师
点击量: 1617
发布时间: 2018-07-03 17:08
【微信号:扫码加咨询】


聚英暑期魔鬼集训营招生倒计时7天!
集训营的宿舍和座位已经在安排中,且
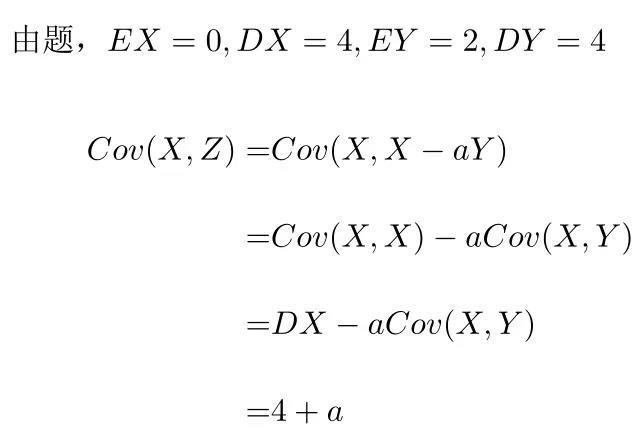
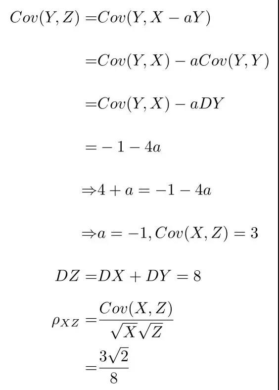
以上是聚创考研网为考生整理的"每日一做:求X和Z的相关系数pxz是多少Part.29"的相关考研信息,希望对大家考研备考有所帮助! 备考过程中如有疑问,也可以添加老师微信H17720740258进行咨询。
