作者:聚创考研网-小厦老师
                    点击量: 1627
                    发布时间: 2018-06-30 14:28
                    
                        
                        
                           【微信号:扫码加咨询】
                             
                      
                    
                   
                
	 
	
 
	
 
	 
 
	
 
	
 

聚英暑期魔鬼集训营装备全面升级,硬件设施完善、学校住宿、空调水果热水器一应俱全、导师考研阅卷经验丰富、考研信息资料齐全、为你答疑解惑,强化辅导公共课+专业课学习基础。风里雨里,聚英考研信息网在这里等你~
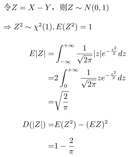
推荐阅读:以上是聚创考研网为考生整理的"每日一做:随机变量X与Y相互独立,且都服从于正态分布,求...Part.27"的相关考研信息,希望对大家考研备考有所帮助! 备考过程中如有疑问,也可以添加老师微信H17720740258进行咨询。
 
                            
                        
                   
                     
         
    
 
