作者:聚创考研网-小厦老师
点击量: 1083
发布时间: 2018-06-12 09:27
【微信号:扫码加咨询】

聚英暑期魔鬼集训营装备全面升级,硬件设施完善、空调水果热水器一应俱全、导师考研经验丰富、考研信息资料齐全、答疑解惑,强化辅导。风里雨里,聚英考研信息网在这里等你~
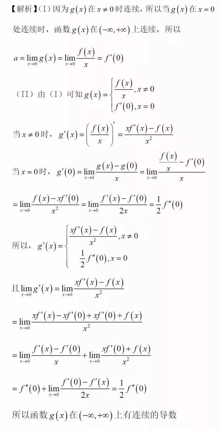
推荐阅读:以上是聚创考研网为考生整理的"每日一做:证明连续导数存在Part.13"的相关考研信息,希望对大家考研备考有所帮助! 备考过程中如有疑问,也可以添加老师微信H17720740258进行咨询。
