作者:聚创考研网-a老师
点击量: 868
发布时间: 2016-10-15 11:08
【微信号:扫码加咨询】



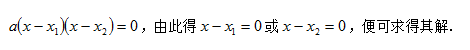
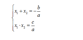
判断根的情况,把上面推导所得的结果作为公式,直接代入公式求解。

以上是聚创考研网为考生整理的"管理类联考数学知识点解析之二次方程"的相关考研信息,希望对大家考研备考有所帮助! 备考过程中如有疑问,也可以添加老师微信H17720740258进行咨询。
