作者:聚创考研网-a老师
点击量: 499
发布时间: 2016-09-08 15:00
【微信号:扫码加咨询】
在联考类综合中,数学是占着非常重要的作用的,甚至有人会说得数学者得天下的说法。那么如果我们能定制出科学高校的备考计划,且严格执行的话,必然能极大的提高联考总分。下面考研信息网与大家分享17考研联考初数知识点解析:数列。
(二)等差数列
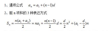
第三种表达方式的重要运用:如果数列前n项和是常数项为0的n的2试,则该数列是等差数列。
3、特殊的等差数列 常数列 自然数列 奇数列 偶数列 ect.
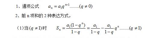
(三)等比数列
后一种的重要运用,只要是以q的n次幂与一个非0数的表达式,且q的n次幂的系数与该非0常数互为相反数,则该数列为等比数列
更多信息,欢迎咨询:
资深考研咨询老师QQ:2355756506
考研新浪微博:聚英考研在线
考研微信平台:聚英考研网(sxzykkaoyan)
以上是聚创考研网为考生整理的"【17在职考研】联考初数知识点解析:数列"的相关考研信息,希望对大家考研备考有所帮助! 备考过程中如有疑问,也可以添加老师微信H17720740258进行咨询。
