作者:聚创考研网-a老师
点击量: 498
发布时间: 2016-08-12 13:16
【微信号:扫码加咨询】
金融硕士近年来越来越火爆,聚英考研网为想报考金融硕士的考生们整理了金融学原始存款和派生存款的相关知识点,希望能够对你的考研学习有所帮助。
现代金融体制下的存款货币创造:
1. 现代生活中相当于铸币的现金是中央银行垄断发行的银行券。银行对于吸收的存款要准备一部分银行券,以保持存款的客户提取现金。这与铸币流通时要保有一部分铸币以备提取铸币的意义一样。
但支票结算中银行之间的应收应付差额则已完全不需要用银行券结清。由于各个存款货币银行均在中央银行开有存款账户,所以应收应付差额的结算只需要通过银行在中央银行的存款账户进行划转。
2. 各银行在中央银行的存款称作准备存款。通常由国家规定,银行在中央银行的准备存款对该银行所吸收的存款总额的比率。这种比率叫法定准备率。
3. 如果暂不考虑顾客从存款提取银行券,则有一个无现金的支付流转模型。在这个模型下,存款货币创造怎样开始?
“原始存款”来源可以是存款货币银行从中央银行借款;可以是客户收到一张中央银行的支票——比如由国库开出的拨款支票——并委托自己的往来银行收款;也可能是客户向存款货币银行出售外汇并形成存款,而银行把外汇售与中央银行并形成准备存款。
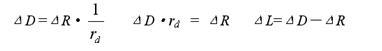
4. 如以ΔD表示包括原始存款在内的经过派生的存款增加总额,以ΔR 表示原始存款或准备存款的初始增加额,rd 表示法定存款准备率,则三者关系式如下:

以上就是聚英考研网收集整理的存款货币创造的相关知识点,聚英考研网里有许多资深的老师,为你解答考研中的各种疑问,考生们可以加入聚英考研各大院校的考研QQ群咨询哦!
以上是聚创考研网为考生整理的"金融硕士金融学知识点解析:存款货币创造"的相关考研信息,希望对大家考研备考有所帮助! 备考过程中如有疑问,也可以添加老师微信H17720740258进行咨询。
