更新时间: 2016-08-18
以下内容有聚创考研网整理发布。
内容包括:
2012年全国硕士研究生入学统一考试数学三试题及答案
请同学自行下载查看。
【积分: 30】 注册手机会员的童鞋,可以到电脑端-会员中心查看积分,每天登录聚创考研网可以获取5积分,购买网校课程、资料也可以获取等值积分。
聚英考研网为大家整理了2012年全国硕士研究生入学统一考试数学三试题及答案,部分内容如下:
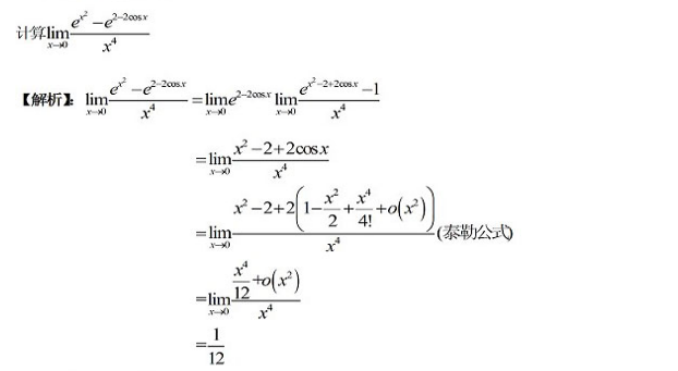
三、解答题,15-23小题,共94分,请将解答写在答题纸指定位置上,解答应写出文字说明、证明过程或演算步骤
(15).(本题满分15分)

完整版请下载附件。








